大功率长寿命连续波磁控管注入锁频技术
栏目:公司动态 发布时间:2026-02-07
  在工业生产中加热对象往往体积庞大,微波功率不够高将直接影响加热效果,并严重制约生产规模,远不能满足大规模工业连续生产的需求。简单将多只磁控管作为独立

  在工业生产中加热对象往往体积庞大,微波功率不够高将直接影响加热效果,并严重制约生产规模,远不能满足大规模工业连续生产的需求。简单将多只磁控管作为独立微波源进行非相干功率合成,造成了功率合成效率低、难以消除磁控管之间相互间的干扰,严重影响微波源的工作稳定性和工作寿命,甚至直接损坏微波源。普通连续波磁控管是一种复杂幅相特性微波器件,通常其幅度易受工作条件的影响、频率和相位随机变化、幅度和相位变化相互牵连,使得进行相干功率合成具有相当大的难度。而随着注入锁频技术的引入,注入锁频连续波磁控管将能很好的解决这些问题,可实现真正意义上的相干功率合成,为微波能大规模工业应用开辟广阔的前景。

  节能环保是我国经济可持续发展的基本国策。目前,国内钢铁、有色金属、建材、石化、化工和电力六大高耗能行业能耗已占工业总能耗的77%,其中5个行业涉及加热处理。微波加热是一种与被加热物质直接相互作用的选择性加热方式,具有显著的高效清洁节能特点,在化工和冶金等行业使用微波加热替代传统加热可以极大提高能源的利用率,达到节能减排的目的。目前,在2450MHz频率段,由于谐振腔内部的电场击穿强度的限制和工作模式对腔体大小要求,大功率连续波磁控管存在着功率上的极限。国内,在2450MHz频率段单只磁控管的功率只能做到15kW,寿命2000h,输出功率与寿命非常有限,远不能满足大规模工业应用的需求。因此限制微波源发展的主要原因还是功率和寿命等问题。

  本文首先对注入锁频理论进行分析,简单阐述注入锁频的机理。然后结合目前所掌握的连续波磁控管制造技术,通过注入锁频技术的引入,在2450MHz频段,对大功率长寿命连续波磁控管的注入锁频技术进行理论研究并给出相应结论。最后对今后注入锁频技术在大功率连续波磁控管方向的应用,提出一些建议。

  稳定工作状态下的磁控管振荡器,当外加注入一个频率相近的信号时,如果注入信号的频率(该值跟磁控管的工作频率有关)在磁控管固有振荡频率的附近,则触发的输出脉冲相位即由注入信号与正弦形噪声信号的矢量和决定,当然注入信号将会影响振荡器的工作,使器件工作点偏移到外加信号的频率点,同时其高频场相位也会被外加信号锁定,即二者相位差不随时间变化,从而达到对器件相位的控制作用。注入锁频原理图如图1所示。

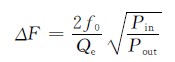
  只有当注入信号和振荡信号的起始频差小于锁定带宽时,才能得到满意的锁定效果,进而满足信号的相干性,而锁定带宽和注入功率应满足下列关系:

  式中,f0为磁控管振荡频率;Qe为磁控管外观品质因数;Pin为注入功率;Pout为磁控管输出功率。一般Pin是Pout的-10~15dB。

  连续波磁控管作为一种高效大功率微波源,是微波能工业化应用的核心器件。在工业应用中,微波的作用对象(负载)通常是时变媒质,当媒质特性发生改变时,磁控管的输出功率和工作稳定性可能受到影响,严重时产生打火、跳模等现象,此时微波功率往往不能有效传输至负载,大部分损耗在管内,致使谐振腔叶片、隔模带或输出天线因损耗过大而损坏。因此,大功率连续波磁控管的高工作稳定性是微波能工业化应用中亟待解决的关键问题之一。注入锁频技术将能很好地解决该问题,通过相干功率合成技术可大幅提升微波源的输出功率,满足大规模工业应用的需求。

  在普通连续波磁控管起振前,先注入一个低电平、高稳定度的外部基准频率微波信号,该信号频率接近于磁控管的固有频率f0,经由环形器直接注入到磁控管中,当注入信号幅度达到一定数量级时,受高压调制脉冲控制的磁控管振荡频率被注入信号的相位所同步。此时,磁控管近似于一个饱和放大器,将在一个宽的环境温度范围内,在锁定频带宽度内工作,足以抵消或补偿由于温度、电压和工作时间变化引起的管子频率漂移,以及随着管子寿命而在工作频点上的自然偏移。注入锁频磁控管原理框图如图2所示。此外,还发现,当加到磁控管的脉电

  压上升速率较快时,也不会使磁控管引起跳模,这样在短脉冲时即能获得很好的脉冲波形。普通连续波磁控管与注入锁频连续波磁控管频谱特性对比如图3所示。

  普通连续波磁控管的输出信号由轮辐电子云在阳极块上感应的噪声电压触发,但是噪声的随机性引发的振荡输出脉冲在相位上亦是随机的。而注入锁频磁控管的振荡形成,触发的脉冲相位由注入信号与正弦形噪声信号的矢量和决定。当注入信号大大超过噪声信号(20~30dB)时,振荡输出相位主要由注入锁定的信号决定。根据公式

  可确定锁频带宽F 较小,因此磁控管频率f0的精确度必须严格控制,所以注入锁频磁控管的实现与否对普通连续波磁控管本身的频率一致性提出了很高的要求。

  当整机工作在一定的工作频带,由所用磁控管的外观品质因数Qe决定注入源的功率电平。当输出功率一定时,较低的外观品质因数,较大的注入功率,可得到较宽的锁频带宽。

  注入锁频磁控管耦合度不仅与其外观品质因数Qe是相关联的,而且影响磁控管的工作稳定性。过大,尽管Qe会降低,F 会增大,但磁控管的工作稳定性会变差,负载的变化会引起较大的频率牵引,造成磁控管失锁。因此必须控制耦合度及外观品质因数,使磁控管的锁频宽度和工作稳定性都比较理想。

  节能减排是我国的基本国策,是我国经济结构调整和经济增长模式改变的必由之路。微波能的工业应用必将推进我国产业结构优化升级,在提高生产能力的同时降低能耗,促进经济的可持续发展。

  随着注入锁频技术的引入,在连续波磁控管起振前,先注入一个低电平、高稳定度的外部基准频率微波信号,当注入信号幅度达到一定数量级时,磁控管振荡频率将被注入信号的相位所同步。此时,磁控管将在一个宽的环境温度范围内,在锁定频带宽度内工作,足以抵消或补偿由于温度、电压和工作时间变化引起的管子频率漂移,以及随着管子寿命而在工作频点上的自然偏移。此时,注入锁频磁控管将可满足相干功率合成的必要条件。通过相干功率合成技术,可突破传统连续波磁控管功率与寿命的极限,制造出大功率长寿命微波源,满足大规模工业应用的需求。

  我国的微波能应用事业正在迅速发展,它为发展连续波磁控管注入锁频技术开辟了广阔的前景。在2450MHz频段,我们建议:对连续波磁控管注入锁频技术开展广阔基础性应用研究。

  以国内大功率连续波磁控管的改进为先导,开展新型阴极材料及制备、高真空封接技术、传输效率提升等工艺研究。通过设计降低连续波磁控管的外观品质因数,以达到注入锁频所需锁频带宽的要求;通过控制阴阳极同心度,提高管内真空度,选取合适的天线高度、插入深度以及工作点,以此提高磁控管的寿命,满足大规模工业应用长期连续生产的需求。进行连续波磁控管与环形器、电磁铁小型化的研究,同时尽可能的降造成本。以上工作需得到国家相关部门的配合与支持。

  采用高功率脉冲电源,研究了氩气气氛下工作气压、脉冲电压和频率等参数对笼网型空心阴极放电特性的影响,并对等离子体发射光谱进

  设计了一个在高效率、高频率、结构紧凑低磁场以及低电压工作等方面具有独特优势的0.14 THz 扩展互作用速调管慢波谐振系统。

  速调管是利用周期性调制电子注速度来实现振荡或放大的一种微波电子管。本文讲述了什么是速调管,以及调速管的分类、速调管的特点

  本文采用理论分析与高频仿真软件相结合的方法对W 波段回旋速调管的高频结构进行了全面的研究分析,并对输入腔、群聚腔和输出腔进

  本文介绍了国内外Q/V波段空间行波管研就进展及其应用需求情况,为后期的深入研究及应用提供了有利依据。

  文章主要介绍了国外针对SDBD特性、流动控制机理、气动激励数学模型、流动控制影响因素等的研究现状,总结了国内在SDBD等离子体流

  本文以日机密封公司指定的一套螺旋槽干气密封为研究对象,对其密封动环进行振动模态分析,并通过LMS振动试验验证分析的可靠性。

  从理论上讲CuAlO2具有较高的热电优值,材料具有比较高的Seebeck系数和电导率,同时层状结构有利于声子散射,降低热导率。

  真空技术网:集真空工程理论,真空泵等真空设备的安装与使用,真空系统设计,真空阀门、真空密封、真空测量、真空工业应用为一体的真空行业信息平台!